一文看懂化学滴定分析法
滴定分析法,作为一种简便、快速和应用广泛的定量分析方法,在常量分析中有较高的准确度,滴定分析可算是实验室中最最常用的定量方法啦!
滴定分析法的优点:
1、操作简单;
2、对仪器要求不高;
3、有足够高的准确度误差不高于0.2%;
4、方便,快捷;
5、便于普及与推广。
适合滴定分析的化学反应应该具备以下几个条件:
(1)反应必须按方程式定量地完成,通常要求在99.9%以上,这是定量计算的基础。
(2)反应能够迅速地完成(有时可加热或用催化剂以加速反应)。
(3)共存物质不干扰主要反应,或用适当的方法消除其干扰。
(4)有比较简便的方法确定计量点(指示滴定终点)。
常见滴定分析法有哪几类?
1.酸碱滴定法
滴定分析法中,酸碱滴定最基本。
中心问题:“酸碱平衡”,本质是酸碱之间的质子传递。
2.配位滴定法
主要是:EDTA的结构、性质、配位平衡、稳定常数、滴定曲线、指示剂的选择及消除干扰的方法。
重点:配位平衡。在配位滴定中, 除主反应外, 还有各种副反应干扰主反应的进行, 反应条件对配位平衡有很大的影响。
3.氧化还原滴定法
氧化还原滴定法的核心仍然是平衡,是以电子转移为依据的平衡,反应条件对平衡的影响很大。
4.沉淀滴定法
沉淀滴定法的核心是沉淀平衡。
重点是银量法, 根据确定终点的方法不同, 可分为摩尔法、福尔哈德法、吸附指示剂法。
酸碱、配位、氧化还原、沉淀滴定之联系与区别
滴定分析的共同特点是在滴定过程中,被测离子浓度呈现出规律性变化。只要重点掌握酸碱滴定过程中pH值计算,其它几种滴定方法可依相同的思路加以解决。
通常把滴定过程分成四个阶段,即:
(1)滴定开始前;
(2)滴定开始至计量点前;
(3)计量点时;
(4)计量点后。
要了解滴定过程被测离子浓度的变化情况,首先必须弄清滴定各阶段溶液组成的变化情况,然后根据相应组成的计算公式计算。
特别应注意的是:
滴定过程中达到计量点时滴定剂由不足99.9%到过量0.1%之间pH(PM,PE)的变化范围,即滴定突跃,这是选择指示剂的重要依据。
酸碱指示剂变色范围?影响因素?
酸碱指示剂的颜色随溶液PH的改变而变化,其变色范围越窄越好,在化学计量点附近,PH稍有改变,指示剂立即由一种颜色变为另一种颜色,指示剂变色敏锐。
表:常用的酸碱指示剂及其变色范围~
影响指示剂变色范围的因素
1、温度:
温度改变,指示剂的变色范围也随之改变。
例如:
18℃时,甲基橙的变色范围为3.1-4.4,
100℃时,则为2.5-3.7。
2、溶剂:
指示剂在不同溶剂中变色范围不同
3、指示剂用量:
浓度小:颜色变化灵敏;
浓度大:终点颜色变化不敏锐;
指示剂用量少一点为佳。
滴定分析操作注意事项
一、仪器的检漏(滴定管、容量瓶)、洗涤
滴定管和容量瓶使用之前应当先检漏。
具体检漏方法想必你早就知道,只说说注意事项哈:
1、凡士林不应涂太多,否则会堵塞小孔;
2、旋动旋塞时应有一定的向旋塞小头部分方向挤的力,以免来回移动旋塞,使塞孔受堵;
3、滴定管、容量瓶、移液管(吸量管)、锥形瓶都需洗涤。
二、具体操作
1、滴定管
滴定管分为具塞和无塞两种,也就是习惯上所说的酸式滴定管和碱式滴定管。
酸式滴定管:又称具塞滴定管,它的下端有玻璃旋塞开关,用来装酸性、中性与氧化性溶液,不能装碱性溶液如NaOH等。
滴定管的使用:
使用前的准备
洗涤:自来水→洗液→自来水→蒸馏水。
涂凡士林:活塞的大头表面和活塞槽小头的内壁。
检漏:将滴定管内装水至最高标线,夹在滴定管夹上放置2分钟。
酸式滴定管:用滤纸检查活塞两端和管夹是否有水渗出,然后将活塞旋转1800,再检查一次。
碱式滴定管:放置2分钟,如果漏水应更换橡皮管或大小合适的玻璃珠。
润洗:为保证滴定管内的标准溶液不被稀释,应先用标准溶液洗涤滴定管3次,每次5~10mL 。
装液:左手拿滴定管,使滴定管倾斜,右手拿试剂瓶往滴定管中倒溶液,直至充满零刻线以上。
排气泡:酸式滴定管尖嘴处有气泡时,右手拿滴定管上部无刻度处,左手打开活塞,使溶液迅速冲走气泡;碱式滴定管有气泡时,将橡皮塞向上弯曲,两手指挤压玻璃珠,使溶液从管尖喷出,排除气泡。
调零点:调整液面与零刻度线相平,初读数为“0.00mL”。
读数:
a.读数时滴定管应竖直放置;
b.注入或放出溶液时,应静置1~2分钟后再读数;
c.初读数最好为0.00mL;
d.无色或浅色溶液读弯月面最低点,视线应与弯月面水平相切;
e.深色溶液应读取液面上缘最高点;
f.读取时要估读一位。
滴定操作:
将滴定管夹在右边。
酸式滴定管:活塞柄向右,左手从滴定管后向右伸出,拇指在滴定管前,食指及中指在管后,三指平行的轻轻拿住活塞柄。
注意:不要向外用力,以免推出活塞
碱式滴定管:左手拇指在前,食指在后,捏住橡皮管中玻璃珠的上方,使其与玻璃珠之间形成一条缝隙,溶液即可流出。
注意:不要捏玻璃珠下方的橡皮管,也不可使玻璃珠上下移动,否则空气进入形成气泡。
边滴边摇瓶:
滴定操作可在锥形瓶或烧杯内进行。在锥形瓶中进行滴定,用右手的拇指、食指和中指拿住锥形瓶,其余两指辅助在下侧,使瓶底离滴定台高约2~3cm,滴定管下端深入瓶口内约1cm。左手控制滴定速度,便滴加溶液,边用右手摇动锥形瓶,边滴边摇配合好。
滴定操作的注意事项:
①滴定时,最好每次都从0.00 mL开始。
②滴定时,左手不能离开旋塞,不能任溶液自流。
③摇瓶时,应转动腕关节,使溶液向同一方向旋转(左旋、右旋均可)。不能前后振动,以免溶液溅出。摇动还要有一定的速度,一定要使溶液旋转出现一个漩涡,不能摇得太慢,影响化学反应的进行。
④滴定时,要注意观察滴落点周围颜色变化,不要去看滴定管上的刻度变化。
⑤滴定速度控制方面
连续滴加:开始可稍快,呈“见滴成线”,这时为10mL/min,即,每秒3~4滴左右。注意不能滴成“水线”,这样,滴定速度太快。
间隔滴加:接近终点时,应改为一滴一滴的加入,即加一滴摇几下,再加再摇。
半滴滴加:最后是每加半滴,摇几下锥形瓶,直至溶液出现明显的颜色使一滴悬而不落,沿器壁流入瓶内,并用蒸馏水冲洗瓶颈内壁,再充分摇匀。
⑥半滴的控制和吹洗:
用酸管时,可轻轻转动旋塞,使溶液悬挂在出口管嘴上,形成半滴,用锥形瓶内壁将其沾落,再用洗瓶吹洗。
对于碱管,加上半滴溶液时,应先松开拇指和食指,将悬挂的半滴溶液沾在锥形瓶内壁上,再放开无名指和小指,这样可避免出口管尖出现气泡。
滴入半滴溶液时,也可采用倾斜锥形瓶的方法,将附于壁上的溶液涮至瓶中,这样可以避免吹洗次数太多,造成被滴物过度稀释。
2、容量瓶
容量瓶是常用的测量所能容纳液体体积的量入式玻璃量器,主要用途是配制准确浓度的标准溶液或定量地稀释溶液。常见的规格有10、25、50、100、250、500、1000mL。
(1)检验瓶塞是否漏水;
(2)检查标度刻线位置距离瓶口是否太近;
(3)固定瓶塞;
(4)洗涤:用洗涤剂水浸泡、自来水冲净、蒸馏水润洗干净;
(5)配制溶液:
(6)不宜长期保存试剂溶液;
(7)使用完毕立即用水冲洗干净。
滴定管校准的基本方法
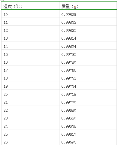
将待校准的滴定管充分洗净,装入蒸馏水至刻度零处,记录水的温度。然后由滴定管放出10mL 水至预先称过质量的具塞瓶中,盖上瓶塞,再称出它的质量(精确到0.01g)。两次质量之差即为放出水的质量。用同样的方法称出滴定管从0到20mL,0到30mL,0到40mL ,0到50mL刻度间水的质量,用实验温度时1mL水的质量来除每次得到水的质量,即可得到相当于滴定管各部分容积的实际毫升数。
例如在15℃由滴定管中放出10.03mL水,其质量为10.04g,又此算出水的实际体积为:10.04/0.99793=10.06(mL) 故滴定管这段容积的误差为10.06-10.03=+0.03mL。使用时应将视容量为10.03 mL,加上校正值+0.03mL,才等于真实容量(10.03+0.03=10.06mL)。
附 在不同温度下1mL纯水的质量
具体参考标准JJG196-2006
滴定分析结果总是超出了误差范围怎么办?
总的来说,对于任何滴定分析,都要首先了解什么样的精度要求才是有意义的并且是必须的,之后如果发现一些结果还是超出了误差范围,你就要从以下几点去找原因:
1.待测样品是否在整个样品中具有代表性?
换句话说,你应该从取样时就开始寻找可能的错误。“分析结果仅代表实际被分析的样品的结果。”也许在实际测量前,样品可能来自于一个没有混合均匀的容器。亦或在取样后,样品暴露在不同的环境条件下。例如样品在滴定前放置不同的时间段,就会吸收不同量的空气中的二氧化碳。在样品转换器上用敞开式的滴定容器时,就应考虑到这一点。因此我们建议先将滴定容器密闭起来,再在滴定开始之前,用一种特殊装置将其打开(Cover- UpTM),就象Rondo样品转换器上的那种。
2. 用多少样品来做分析?对于极少量的样品的分析,天平的性能就至关重要。
那么进行一次最小称样量的测试就可以了解天平是否符合要求。
3. 如果是滴定仪自身的问题,可从以下几个方面来做检查:
a) 液管的末端是否有虹吸滴定头,并且工作是否正常?该滴定头是为了防止滴定剂扩散到样品中去。如果失去滴定头,滴定剂就会流入到滴定池中,并和样品反应。但这部分的消耗量是不被计算在内的,因此就能导致比较大的标准偏差。
b) 滴定管应检查是否漏气。如果接头没有拧紧或阀的工作不正常,就可能出现漏液。在这种情况下,并不是所有滴定仪馈送的滴定剂都加入到样品中去。由于这种影响不具有重复性,就会导致较大的标准偏差。
c) 滴定管中存在有气泡。这通常是由滴定剂中所溶解的气体如CO2、SO2或O2造成的。因此滴定剂在使用前应有个脱气过程,如放置在超声波水浴中。滴定瓶托架作为滴定仪的一个附件可以将滴定瓶提升至与滴定管一样的高度,这就确保在充满滴定管时不会出现负压而造成脱气。卡尔菲休滴定所用试剂由于溶解有SO2,对此极为敏感,因此,在DL31/DL38卡尔菲休滴定仪中,可以适当降低其充液速度。
转自:实验室质量管理

浙公网安备33868282881485
