行业新闻
当前位置:首页 > 行业新闻
什么是平行样?怎么做?
发布者: 网站管理员 发布时间: 2021-03-24
一、平行样
平行样又称平行双样,是指在环境监测和样品分析中,只包括两个相同子样的样品。
采集和测定平行样是实施环境监测质量保证的一项措施。平行样的测定结果在一定程度上反映了测试的精密度水平。在环境监测中,采集和测定平行样的百分比应根据样品的批量、测定的难易程度、有无质量控制等进行确定,一般不少于全部样品的10%。平行样的测定结果可根据标准方法所规定的界限进行判别合格与否,也可将测定结果点入质量控制图进行判别。此外,也可参考分析化学中所作的一般规定进行判别。
二、平行试验
平行试验就是同一批号(炉号等)取两个以上相同的样品,以完全一致的条件(包括温度、湿度、仪器、试剂,以及试验人)进行试验,看其结果的一致性,两样品间的误差是有国标或其他标准要求的。其优点是防止偶然误差的产生。
三、精密度控制
采样平行样测定结果判定分析的精密度时,每批次监测应采集不少于10%的平行样,样品数量少于10个时,至少做一份样品的平行样。若测定平行双样的相对偏差在允许范围内,最终结果以双样测定值的平均值报出;若测试结果超出规定允许的范围,在样品允许保存期内,再加测一次,监测结果取相对偏差符合质控指标的两个监测值的平均值。否则该批次监测数据失控,应予以重测。部分项目控制要求见表。
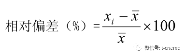
用多次平行测定结果进行相对偏差计算的计算式:

式中:x i —某一测量值;
x — 多次测量值的均值。
n—测量次数
一组测量值的精密度用标准偏差或相对标准偏差表示时的计算式:



废水监测部分项目精密度控制指标



转自:环境监测实战,侵删。

浙公网安备33868282881485
